Edexcel Maths A-Level Revision Hub for Students

£2+
0 ratings

You're desperate to obliterate your A-Level Maths predicted grades. You need to get that place at a top University. You're nervous as hell about peeling open that results envelope in August.

Well you've come to the right place because here you're getting absolutely everything you need to revise for your Edexcel Maths A-Level exam for less than the cost of a latte.

Included in this package is the following on one convenient, organised and accessible page:

  • All Pearson Edexcel Maths A-Level Past Exam Papers since 2018.
  • Official mark schemes.
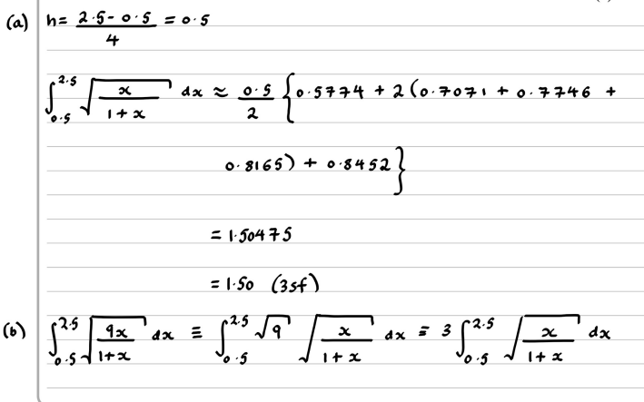
  • Fully completed model answers.
  • Grade boundaries.
  • PDF of the official formula sheet.
  • PDFs of everything you need to memorise for each of the strands.
  • Links to YouTube Video solutions to every paper (2022 in production).

  • Topics database including top resources to help you prepare for each area of the course.

Don't forget to duplicate it to your own Notion workspace and use it for all your past paper needs.

£
I want this!
1 sale

Lifetime access to The Pearson Edexcel Maths A-Level Revision Hub

£2+

Edexcel Maths A-Level Revision Hub for Students

0 ratings
I want this!